Engineering Circuit Analysis Hayt Kemmerly 7th Edition Solutions Pdf

Pdf Engineering Circuit Analysis 7ed Solution Manual By William Hayt Luis Alberto Ahumada Sanchez Academia Edu

Pdf Engineering Circuit Analysis 7ed Solution Manual By William Hayt Luis Alberto Ahumada Sanchez Academia Edu

Engineering Circuit Analysis Pages 1 50 Flip Pdf Download Fliphtml5

Engineering Circuit Analysis Pages 1 50 Flip Pdf Download Fliphtml5

Solution Manual For Engineering Circuit Analysis

Solution Manual For Engineering Circuit Analysis

Engineering Circuit Analysis Solutions 7ed Hayt

Engineering Circuit Analysis Solutions 7ed Hayt

Http Ftp Ngcareers Com Engineering Circuit Analysis Hayt 7th Edition Pdf

Http Ftp Ngcareers Com Engineering Circuit Analysis Hayt 7th Edition Pdf

Engineering Circuit Analysis 7th Edition Textbook Solutions Isbn 9780073366616 Textbook Free Textbooks Analysis

Engineering Circuit Analysis 7th Edition Textbook Solutions Isbn 9780073366616 Textbook Free Textbooks Analysis

Engineering Circuit Analysis 7th Edition Textbook Solutions Isbn 9780073366616 Textbook Free Textbooks Analysis

You can check your reasoning as you tackle a problem using our interactive solutions viewer.

Engineering circuit analysis hayt kemmerly 7th edition solutions pdf.

Ieee transactions on education 20. Engineering circuit analysis second edition william h. National university of science and technology. Engineering circuit analysis hayt kemmerly 7th edition pdf engineering circuit analysis hayt engineering circuit analysis william hart hayt bear calendar 1995 pdf our stories.

No need to wait for office hours or assignments to be graded to find out where you took a wrong turn. Hayt engineering circuit analysis 8th txtbk pdf. Essays on life death and free will all are verry like the a. Engineering circuit analysis hayt 8e.

Unlike static pdf engineering circuit analysis solution manuals or printed answer keys our experts show you how to solve each problem step by step. Pdf not available find read and cite all the research you need on researchgate. Book title engineering circuit analysis. Engineering circuit analysis 7ed solution manual by william hayt.

Hayt engineering circuit analysis 8th txtbk pdf. Hayt engineering circuit analysis solutions from chapter 10 onwards 8th edition full solutions of circuit analysis hayt from chapter 10 onwards are included in this manual. Engineering circuit analysis jack e.

Http Nonprofits Miamifoundation Org Engineering Circuit Analysis 7th Edition Hayt Kemmerly Durbin Pdf

Http Nonprofits Miamifoundation Org Engineering Circuit Analysis 7th Edition Hayt Kemmerly Durbin Pdf

Engineering Circuit Analysis 8th Edition Solutions Physics Mathematics Physics

Engineering Circuit Analysis 8th Edition Solutions Physics Mathematics Physics

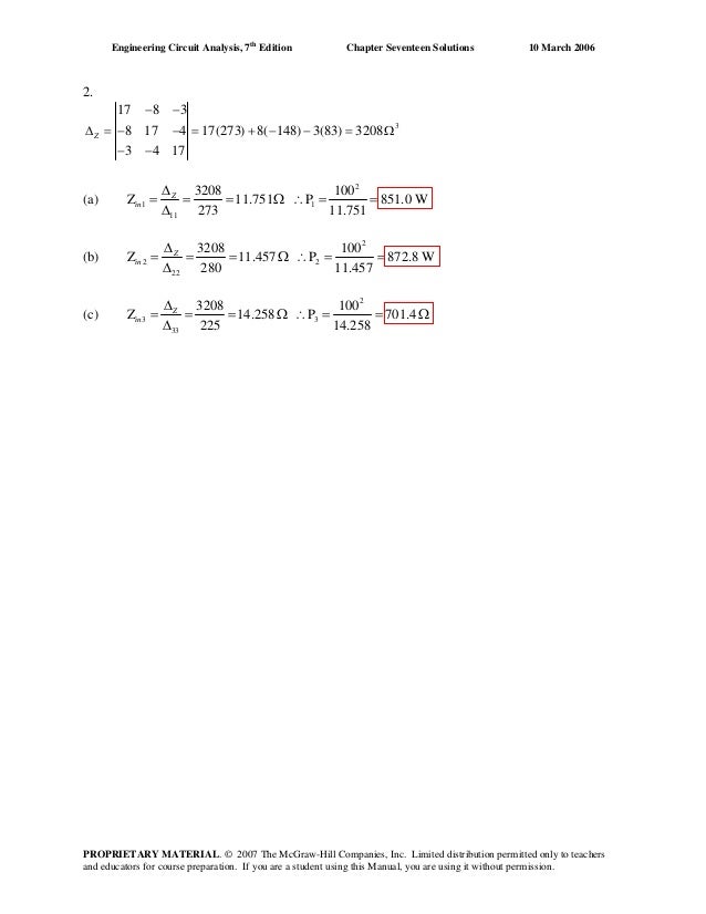
Chapter 17 Solutions To Exercises Engineering Circuit Analysis 7th

Chapter 17 Solutions To Exercises Engineering Circuit Analysis 7th

Solution Manual For Engineering Circuit Analysis 9th Edition For Contact 4studentbook Gmail Com Product Details By William H Hayt Professor Emeritus Author

Solution Manual For Engineering Circuit Analysis 9th Edition For Contact 4studentbook Gmail Com Product Details By William H Hayt Professor Emeritus Author

47645383

47645383

Where Can I Get The Solution Manual Of Hayt Engineering Circuit Analysis 8th Edition Quora

Where Can I Get The Solution Manual Of Hayt Engineering Circuit Analysis 8th Edition Quora

Solution Manual For Engineering Circuit Analysis 8th Edition By Hayt Docsity

Solution Manual For Engineering Circuit Analysis 8th Edition By Hayt Docsity

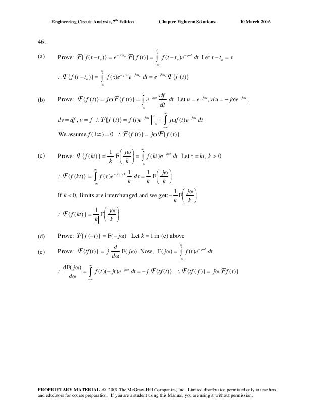
Chapter 18 Solutions To Exercises Engineering Circuit Analysis 7th

Chapter 18 Solutions To Exercises Engineering Circuit Analysis 7th

Basic Engineering Circuit Analysis 10th Edition Solutions Pdf Download

Basic Engineering Circuit Analysis 10th Edition Solutions Pdf Download

47645383 Id 5c520266a9a48

47645383 Id 5c520266a9a48

Drill Problems Solution Of Electromagnetics By Hayt Electromagnetics Solution Manual Kat Kickass John A Buck 8th Electromagnetics 7th Edition William H Hayt Solution

Drill Problems Solution Of Electromagnetics By Hayt Electromagnetics Solution Manual Kat Kickass John A Buck 8th Electromagnetics 7th Edition William H Hayt Solution

Pdf Eie Ene 104 Electric Circuit Theory Satya Narayana Academia Edu

Pdf Eie Ene 104 Electric Circuit Theory Satya Narayana Academia Edu

Free Manual Solution Pdf Pdf Pdf Engineering Physics Mathematics

Free Manual Solution Pdf Pdf Pdf Engineering Physics Mathematics

Pdf Engineering Circuit Analysis Jack E Kemmerly William H Hayt

Pdf Engineering Circuit Analysis Jack E Kemmerly William H Hayt

Full List Test Bank And Solution Manual 2020 2021 Student Saver Team Part 1

Full List Test Bank And Solution Manual 2020 2021 Student Saver Team Part 1

Zt 2577 Electronic Circuit Analysis Textbook Free Download Wiring Diagram

Zt 2577 Electronic Circuit Analysis Textbook Free Download Wiring Diagram

Hayt Engineering Circuit Analysis 8th Solution Manual Pdf Free Download

Hayt Engineering Circuit Analysis 8th Solution Manual Pdf Free Download

Engineering Circuit Analysis 9th Edition By William Hayt Textbooks Solutions Manual And Test Bank

Engineering Circuit Analysis 9th Edition By William Hayt Textbooks Solutions Manual And Test Bank

Pdf Quantitative Analysis For Management Render Stair Hanna 10th Edition Solutions Manual Quantitative Analysis For Management Render Stair Hanna 10th Edition Solutions Manual Chan Alex Academia Edu

Pdf Quantitative Analysis For Management Render Stair Hanna 10th Edition Solutions Manual Quantitative Analysis For Management Render Stair Hanna 10th Edition Solutions Manual Chan Alex Academia Edu

Pdf Ebook And Solutions Manual Mark Rain Academia Edu

Pdf Ebook And Solutions Manual Mark Rain Academia Edu

Engineering Circuit Analysis Hayt William H Kemmerly Jack E Durbin Steven M 9780071109376 Amazon Com Books

Engineering Circuit Analysis Hayt William H Kemmerly Jack E Durbin Steven M 9780071109376 Amazon Com Books

Pdf Fundamentals Of Electrical And Electronics Engineering Eee 209 Lecture Notes Bora Erenay Academia Edu

Pdf Fundamentals Of Electrical And Electronics Engineering Eee 209 Lecture Notes Bora Erenay Academia Edu

Http Webdisk Bangsamoro Gov Ph Jtoj849zrp Hayt Engineering Circuit Analysis 8th Pdf

Http Webdisk Bangsamoro Gov Ph Jtoj849zrp Hayt Engineering Circuit Analysis 8th Pdf

Download Circuit Analysis Demystified 1st Edition Guidebook Vernlyrores Gq

Download Circuit Analysis Demystified 1st Edition Guidebook Vernlyrores Gq

Source : pinterest.com